2026知到答案 激光原理(哈尔滨工业大学) 完整智慧树网课章节测试答案
绪论 单元测试
1、判断题:
光波也是电磁波。( )
选项:
A:错
B:对
答案: 【对】
第一章 单元测试
1、单选题:
He-Ne激光器的常用发射波长为632.8nm,其光子能量为( )eV。
选项:
A:19.6
B:1.96
C:0.196
D:196
答案: 【1.96】
2、单选题:
黑体辐射的辐射能量密度只取决于辐射体的( ),而与辐射体的材料、形状无关。
选项:
A:硬度
B:温度
C:面积
D:体积
答案: 【温度】
3、单选题:
热平衡状态下,几乎全部原子处于( ),这种分布是原子能级的正常分布。
选项:
A:第一激发态
B:基态
C:电离态
D:第二激发态
答案: 【基态】
4、多选题:
原子的受激发射具有以下特点:( )。
选项:
A:高能级向低能级跃迁
B:辐射一个和外来光子完全一样的光子
C:外来光子的能量正好等于两个能级的能量间隔
D:需要受到外来光子照射
答案: 【高能级向低能级跃迁;
辐射一个和外来光子完全一样的光子;
外来光子的能量正好等于两个能级的能量间隔;
需要受到外来光子照射】
5、单选题:
线型函数等于分布在某一频率附近单位频率间隔内的辐射功率,与( )之比。
选项:
A:整个频率范围内的总辐射功率
B:整个频率范围内的总辐射能量
C:某一频率辐射能量
D:某一频率辐射功率
答案: 【整个频率范围内的总辐射功率】
第二章 单元测试
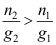
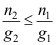
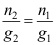
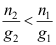
1、单选题:
高能级E2的粒子数密度为n2、统计权重为g2,低能级E1的粒子数密度为n1、统计权重为g1,则粒子数反转状态为( )。
选项:
A:
B:
C:
D:
答案: 【
】
2、多选题:
影响谐振腔反馈的因素包括( )。
选项:
A:输出镜的反射率
B:两个反射镜的形状
C:后反镜的反射率
D:两个反射镜之间的组合方式
答案: 【输出镜的反射率;
两个反射镜的形状;
后反镜的反射率;
两个反射镜之间的组合方式】
3、多选题:
激光具有很好的单色性是因为( )。
选项:
A:有源腔光子寿命很长
B:多能级跃迁
C:受激发射机理
D:谐振腔的选频作用
答案: 【有源腔光子寿命很长;
受激发射机理;
谐振腔的选频作用】
4、多选题:
光泵四能级系统的激光形成过程包括( )。
选项:
A:在谐振腔作用下形成激光
B:E3能级与E2能级间的受激发射光被放大
C:E3能级与E2能级间形成粒子数反转
D:E3能级与E2能级间的自发发射
E:E1能级跃迁到E4能级的受激吸收;
F:E4能级与E3能级间的快速无辐射跃迁
答案: 【在谐振腔作用下形成激光;
E3能级与E2能级间的受激发射光被放大;
E3能级与E2能级间形成粒子数反转;
E3能级与E2能级间的自发发射;
E1能级跃迁到E4能级的受激吸收;;
E4能级与E3能级间的快速无辐射跃迁】
5、单选题:
均匀加宽的增益饱和规律为( )。
选项:
A:增益曲线整体下降,宽度变宽
B:增益曲线局部下降出现凹陷,产生增益曲线烧孔效应
C:增益曲线整体下降,产生增益曲线烧孔效应
D:增益曲线局部下降出现凹陷,宽度变宽
答案: 【增益曲线整体下降,宽度变宽】
