大学MOOC 高等数学下(揭阳职业技术学院)1452140259 最新慕课完整章节测试答案
第九章多元函数微分学及其应用
9.1节至9.3节单元测验
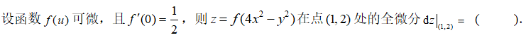
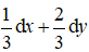
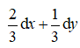
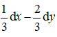
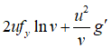
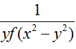
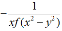
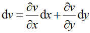
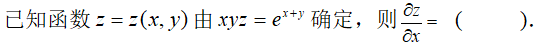
1、单选题:

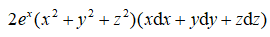
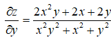
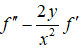
选项:
A: 
B: 
C: 
D: 
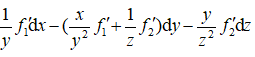
答案: 【
】
2、单选题:

选项:
A: 内点
B: 外点
C: 边界点
D: 无法判断
答案: 【 边界点】
3、单选题:

选项:
A: 无界开集
B: 无界闭集
C: 有界闭集
D: 有界开集
答案: 【 有界闭集】
4、单选题:

选项:
A: 内点
B: 外点
C: 边界点
D: 可能是内点或边界点
答案: 【 内点】
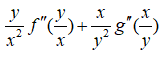
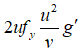
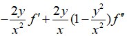
5、单选题:

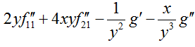
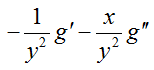
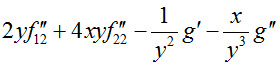
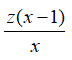
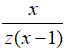
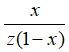
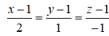
选项:
A: 
B: 
C: 
D: 
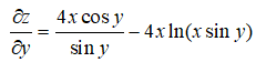
答案: 【
】
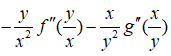
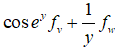
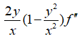
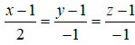
6、单选题:

选项:
A: 
B: 
C: 
D: 
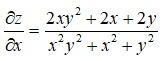
答案: 【
】
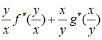
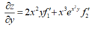
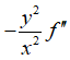
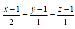
7、单选题:

选项:
A: 
B: 
C: 
D: 
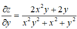
答案: 【
】
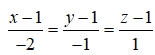
8、单选题:

选项:
A: 
B: 
C: 
D: 
答案: 【
】
9、单选题:

选项:
A: 
B: 
C: 
D: 
答案: 【
】
10、单选题:

选项:
A: 
B: 
C: 
D: 
答案: 【
】
11、单选题:

选项:
A: 
B: 
C: 
D: 
答案: 【
】
12、单选题:

选项:
A: 
B: 
C: 
D: 
答案: 【
】
13、单选题:

选项:
A: 
B: 
C: 
D: 
答案: 【
】
14、单选题:

选项:
A: 
B: 
C: 
D: 不存在
答案: 【
】
15、单选题:

选项:
A: 必要条件,但非充分条件
B: 充分条件,但非必要条件
C: 充分必要条件
D: 既非充分条件也非必要条件
答案: 【 必要条件,但非充分条件】
16、单选题:

选项:
A: 充分条件
B: 必要条件
C: 充分必要条件
D: 无关条件
答案: 【 充分条件】
17、单选题:

选项:
A: 必要条件
B: 充分条件
C: 充要条件
D: 无关条件
答案: 【 必要条件】
18、单选题:

选项:
A: 必要条件
B: 充分条件
C: 充要条件
D: 无关条件
答案: 【 充分条件】
19、单选题:

选项:
A: 必要条件
B: 充分条件
C: 充要条件
D: 无关条件
答案: 【 必要条件】
20、单选题:

选项:
A: 充分必要条件
B: 充分非必要条件
C: 必要非充分条件
D: 既非充分条件也非必要条件
答案: 【 充分非必要条件】
21、单选题:

选项:
A: 
B: 
C: 
D: 
答案: 【
】
22、单选题:

选项:
A: 
B: 
C: 
D: 
答案: 【
】
23、单选题:

选项:
A: 
B: 
C: 
D: 
答案: 【
】
24、单选题:

选项:
A: 
B: 
C: 
D: 
答案: 【
】
25、单选题:

选项:
A: 
B: 
C: 
D: 
答案: 【
】
26、单选题:

选项:
A: 
B: 
C: 
D: 
答案: 【
】
27、单选题:

选项:
A: 
B: 
C: 
D: 
答案: 【
】
28、单选题:

选项:
A: 
B: 
C: 
D: 
答案: 【
】
29、单选题:

选项:
A: 
B: 
C: 
D: 
答案: 【
】
30、单选题:

选项:
A: 
B: 
C: 
D: 
答案: 【
】
31、单选题:

选项:
A: 
B: 
C: 
D: 
答案: 【
】
32、单选题:

选项:
A: 
B: 
C: 
D: 
答案: 【
】
33、单选题:

选项:
A: 
B: 
C: 
D: 
答案: 【
】
34、单选题:

选项:
A: 
B: 
C: 
D: 
答案: 【
】
35、单选题:

选项:
A: 
B: 
C: 
D: 
答案: 【
】
36、单选题:

选项:
A: 
B: 
C: 
D: 
答案: 【
】
37、单选题:

选项:
A: 
B: 
C: 
D: 
答案: 【
】
38、单选题:

选项:
A: 充分必要条件
B: 充分非必要条件
C: 必要非充分条件
D: 既非充分条件也非必要条件
答案: 【 既非充分条件也非必要条件】
39、单选题:

选项:
A: 
B: 
C: 
D: 
答案: 【
】
40、单选题:

选项:
A: 
B: 
C: 
D: 
答案: 【
】
41、单选题:

选项:
A: 
B: 
C: 
D: 
答案: 【
】
42、单选题:

选项:
A: 
B: 
C: 
D: 
答案: 【
】
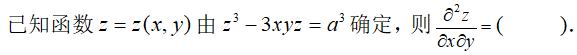
43、单选题:

选项:
A: 4
B: 0
C: 1
D: 2
答案: 【 2】
44、单选题:

选项:
A: 
B: 
C: 
D: 
答案: 【
】
45、单选题:

选项:
A: 
B: 
C: 
D: 
答案: 【
】
46、单选题:

选项:
A: 
B: 
C: 
D: 
答案: 【
】
47、单选题:

选项:
A: 
B: 
C: 
D: 
答案: 【
】
48、单选题:

选项:
A: 
B: 
C: 
D: 
答案: 【
】
49、单选题:

选项:
A: 
B: 
C: 
D: 
答案: 【
】
50、单选题:

选项:
A: 
B: 
C: 
D: 
答案: 【
】
51、单选题:

选项:
A: 
B: 
C: 
D: 
答案: 【
】
52、单选题:

选项:
A: 
B: 
C: 
D: 
答案: 【
】
53、单选题:

选项:
A: 
B: 
C: 
D: 
答案: 【
】
54、单选题:

选项:
A: 
B: 
C: 
D: 
答案: 【
】
55、单选题:

选项:
A: 
B: 
C: 
D: 
答案: 【
】
56、单选题:

选项:
A: 
B: 
C: 
D: 
答案: 【
】
57、单选题:

选项:
A: 
B: 
C: 
D: 
答案: 【
】
58、单选题:

选项:
A: 
B: 
C: 
D: 
答案: 【
】
59、单选题:

选项:
A: 
B: 
C: 
D: 
答案: 【
】
9.4节、9.5节单元测验
1、单选题:

选项:
A: 
B: 
C: 
D: 
答案: 【
】
2、单选题:

选项:
A: 
B: 
C: 
D: 
答案: 【
】
3、单选题:

选项:
A: 
B: 
C: 
D: 
答案: 【
】
4、单选题:

选项:
A: 
B: 
C: 
D: 
答案: 【
】
5、单选题:

选项:
A: 
B: 
C: 
D: 
答案: 【
】
6、单选题:

选项:
A: 
B: 
C: 
D: 
答案: 【
】
7、单选题:

选项:
A: 
B: 
C: 
D: 
答案: 【
】
8、单选题:

选项:
A: 
B: 
C: 
D: 
答案: 【
】
9、单选题:

选项:
A: 
B: 
C: 
D: 
答案: 【
】
10、单选题:

选项:
A: 
B: 
C: 
D: 
答案: 【
】
11、单选题:

选项:
A: 
B: 
C: 
D: 
答案: 【
】
12、单选题:

选项:
A: 
B: 
C: 
D: 
答案: 【
】
13、单选题:

选项:
A: 
B: 
C: 
D: 
答案: 【
】
14、单选题:

选项:
A: 
B: 
C: 
D: 
答案: 【
】
15、单选题:

选项:
A: 
B: 
C: 
D: 
答案: 【
】
16、单选题:

选项:
A: 
B: 
C: 
D: 
答案: 【
】
17、单选题:

选项:
A: 
B: 
C: 
D: 
答案: 【
】
18、单选题:

选项:
A: 
B: 
C: 
D: 
答案: 【
】
19、单选题:

选项:
A: 
B: 
C: 
D: 
答案: 【
】
20、单选题:

选项:
A: 
B: 
C: 
D: 
答案: 【
】
21、单选题:

选项:
A: 
B: 
C: 
D: 
答案: 【
】
22、单选题:

选项:
A: 
B: 
C: 
D: 
答案: 【
】
23、单选题:

选项:
A: 
B: 
C: 
D: 
答案: 【
】
24、单选题:

选项:
A: 
B: 
C: 
D: 
答案: 【
】
25、单选题:

选项:
A: 
B: 
C: 
D: 
答案: 【
】
26、单选题:

选项:
A: 
B: 
C: 
D: 
答案: 【
】
27、单选题:

选项:
A: 
B: 
C: 
D: 
答案: 【
】
28、单选题:

选项:
A: 
B: 
C: 
D: 
答案: 【
】
29、单选题:

选项:
A: 
B: 
C: 
D: 
答案: 【
】
30、单选题:

选项:
A: 
B: 
C: 
D: 
答案: 【
】
31、单选题:

选项:
A: 
B: 
C: 
D: 
答案: 【
】
32、单选题:

选项:
A: 
B: 
C: 
D: 
答案: 【
】
33、单选题:

选项:
A: 
B: 
C: 
D: 
答案: 【
】
34、单选题:

选项:
A: 
B: 
C: 
D: 
答案: 【
】
35、单选题:

选项:
A: 
B: 
C: 
D: 
答案: 【
】
9.6节、9.7节单元测验
1、单选题:

选项:
A: 
B: 
C: 
D: 
答案: 【
】
2、单选题:

选项:
A: 
B: 
C: 
D: 
答案: 【
】
3、单选题:

选项:
A: 
B: 
C: 
D: 
答案: 【
】
4、单选题:

选项:
A: 
B: 
C: 
D: 
答案: 【
】
5、单选题:

选项:
A: 只有一条
B: 只有两条
C: 至少有三条
D: 不存在
答案: 【 只有两条】
6、单选题:

选项:
A: 
B: 
C: 
D: 
答案: 【
】
7、单选题:

选项:
A: 
B: 
C: 
D: 
答案: 【
】
8、单选题:

选项:
A: 
B: 
C: 
D: 
答案: 【
】
9、单选题:

选项:
A: 
B: 
C: 
D: 
答案: 【
】
10、单选题:

选项:
A: 
B: 
C: 
D: 
答案: 【
】
11、单选题:

选项:
A: 
B: 
C: 
D: 
答案: 【
】
12、单选题:

选项:
A: 
B: 
C: 
D: 
答案: 【
】
13、单选题:

选项:
A: 
B: 
C: 
D: 
答案: 【
】
14、单选题:

选项:
A: 
B: 
C: 
D: 
答案: 【
】
15、单选题:

选项:
A: 
B: 
C: 
D: 
答案: 【
】
16、单选题:

选项:
A: 
B: 
C: 
D: 
答案: 【
】
17、单选题:

选项:
A: 
B: 
C: 
D: 
答案: 【
】
18、单选题:

选项:
A: 
B: 
C: 
D: 
答案: 【
】
19、单选题:

选项:
A: 
B: 
C: 
D: 
答案: 【
】
20、单选题:

选项:
A: 
B: 
C: 
D: 
答案: 【
】
21、单选题:

选项:
A: 
B: 
C: 
D:
